ÔÚ¹ú¼ÒÕþ²ßÓëÐÐÒµÊÖÒÕµÄÇý¶¯Ï£¬£¬£¬£¬£¬£¬£¬ÐÂÄÜÔ´×°»ú¹æÄ£Ò»Á¬¸ßÔö£¬£¬£¬£¬£¬£¬£¬µ¼ÖÂÆäÔÚÄÜÔ´½á¹¹¼°µçÁ¦½á¹¹ÖеÄÕ¼±ÈÒ»Ö±À©´ó¡£¡£¡£¡£¡£¡£µ«ÐÂÇ÷ÊÆÏµçÁ¦ÏµÍ³Ò²±»ÆÈÃæÁÙ×Åת¶¯¹ßÁ¿Ï½µ¡¢ÆµÂÊ¿ØÖÆÄÑÌâµÈÐÂÌôÕ½£¬£¬£¬£¬£¬£¬£¬ÐèÒªÐÂÄÜÔ´³¡Õ¾¼ÓÈëµçÁ¦ÏµÍ³µ÷Àí¡£¡£¡£¡£¡£¡£
½üÁ½Äê¹ú¼ÒÏà¼Ì³ǫ̈Á˹ú±ê¡¶GB_T40595-2021²¢ÍøµçÔ´Ò»´Îµ÷ƵÊÖÒÕ»®¶¨¼°ÊÔÑéµ¼Ôò¡·¼°¡¶GB_T19963.1-2021·çµç³¡½ÓÈëµçÁ¦ÏµÍ³ÊÖÒÕ»®¶¨¡·µÈ±ê×¼£¬£¬£¬£¬£¬£¬£¬Ã÷È·»®¶¨ÁËÐÂÄÜÔ´³¡Õ¾Ðè¾ß±¸Ò»´Îµ÷Ƶ¼°¹ßÁ¿ÏìÓ¦¹¦Ð§£¬£¬£¬£¬£¬£¬£¬ÒÔ¼°Ïà¹ØÊÖÒÕÒªÇ󡣡£¡£¡£¡£¡£
ºÌÍûµçÆø¾Û½¹¸ÄÉÆÐÂÄÜÔ´³¡Õ¾µÄÉæÍøÌØÕ÷£¬£¬£¬£¬£¬£¬£¬Îª³¡Õ¾µ÷ƵÌṩhopePowerÐÂÄÜÔ´³¡Õ¾¿ìËÙµ÷Ƶϵͳ£¨¼´ºÌÍûhopePowerϵͳ£©¡£¡£¡£¡£¡£¡£ÔڹŰåÐÂÄÜÔ´³¡Õ¾¹¦ÂÊÖÎÀíϵͳ»ù´¡ÉÏ£¬£¬£¬£¬£¬£¬£¬ÔöÌíÁ˳¡Õ¾Ò»´Îµ÷Ƶ¡¢³¡Õ¾¹ßÁ¿µ÷Ƶ¡¢·ç´¢/¹â´¢Ðͬ¿ØÖÆÒÔ¼°³¡Õ¾¿ìËÙµ÷ѹµÈ¹¦Ð§¡£¡£¡£¡£¡£¡£×°±¸ÑÏ¿á×ñÕÕ×îйú±ê¼°µØ·½µçÍø¶ÔÐÂÄÜÔ´³¡Õ¾µÄÊÖÒչ淶ºÍÒªÇ󣬣¬£¬£¬£¬£¬£¬¼æ¹ËÏìÓ¦ËÙÂʺÍÏìÓ¦¾«¶È£¬£¬£¬£¬£¬£¬£¬Ë³Ó¦ÐÂÄÜÔ´³¡Õ¾¶àÑùÐÔµÄÊÂÇéģʽ£¬£¬£¬£¬£¬£¬£¬ÐÔÄÜÓÅÒ죬£¬£¬£¬£¬£¬£¬Îȹ̿ɿ¿¡£¡£¡£¡£¡£¡£

ºÌÍûhopePowerϵͳÕû»ú
±ðµÄ£¬£¬£¬£¬£¬£¬£¬ºÌÍûµçÆø³ä·Ö˼Á¿ÁËÏÖÓÐÐÂÄÜÔ´³¡Õ¾¿ÉÄܱ£´æµÄÓ¦Óó¡¾°£¬£¬£¬£¬£¬£¬£¬¿ÉÕë¶Ô²î±ðÉèÖõÄÐÂÄÜÔ´³¡Õ¾Ìṩ¡°Ç¶Ì×ʽ¡±µÄ¶¨ÖÆ»¯²úÆ·½â¾ö¼Æ»®¡ª¡ªºÌÍûÐÂÄÜÔ´³¡Õ¾¿ìËÙµ÷Ƶ½â¾ö·½°¸¡£¡£¡£¡£¡£¡£ÒÔ¹¦Ð§Ç¶Ì׵ķ½·¨£¬£¬£¬£¬£¬£¬£¬Ôö²¹¡¢ÍêÉÆÐÂÄÜÔ´³¡Õ¾µÄÉæÍøÌØÕ÷¹¦Ð§¡£¡£¡£¡£¡£¡£
½â¾ö¼Æ»®ÌصãÈçÏ£º
01¡¢Ö§³Ö¶àÖÖͨѶÐÒéÓë½Ó¿Ú£¬£¬£¬£¬£¬£¬£¬¿ÉÉî¶È¸´ÓÃÏÖ³¡ÔÓÐÍøÂ磬£¬£¬£¬£¬£¬£¬¶ÔÏÖ³¡ÍøÂçË¢ÐÂÐèÇóÏÕЩΪÁ㣻£»£»£»£»£»
02¡¢ÊÊÅä¶àÀàÐÍ·çµçÕû»ú/¹â·üÄæ±äÆ÷/´¢ÄܱäÁ÷Æ÷ͨѶ½Ó¿Ú£¬£¬£¬£¬£¬£¬£¬¿ÉʵÏÖÏàͬ³§¼Ò×°±¸µÄ¿ìËÙ½ÓÈ룻£»£»£»£»£»
03¡¢»ùÓÚÄ£¿£¿£¿£¿£¿£¿£¿é»¯Éè¼Æ£¬£¬£¬£¬£¬£¬£¬Í¨¹ý¹¦Ð§Ä£¿£¿£¿£¿£¿£¿£¿éÉèÖ㬣¬£¬£¬£¬£¬£¬½öÐèÒ»Ì××°±¸¼´¿ÉÖª×㳡վÖÖÖÖÓ¦Óó¡¾°µÄ×éºÏÐèÇ󣻣»£»£»£»£»
04¡¢Ìṩ¶àÖÖÓë·¢µç»ú×éSCADA/ÄܹÜϵͳÐͬ¿ØÖƼƻ®£¬£¬£¬£¬£¬£¬£¬¿É×îºéÁ÷ƽÉϸ´Óó¡Õ¾ÔÓеĽӿÚÓë×°±¸;
05¡¢¿Éƾ֤³¡Õ¾ºóÐøÐÂÔöÉèÖ㬣¬£¬£¬£¬£¬£¬¿ìËÙʵÏÖÏà¹Ø¹¦Ð§ÍØÕ¹£¬£¬£¬£¬£¬£¬£¬Èç¹â´¢¡¢·ç´¢ÍÅ½á¿ØÖÆµÈ£¬£¬£¬£¬£¬£¬£¬ÎÞÐèÐÂÔö×°±¸£»£»£»£»£»£»

ºÌÍûhopePowerϵͳȫ¹¦Ð§ÍØÆËͼ
Õë¶Ô¹â·üµçվͨѶ½á¹¹ÖØ´ó¼°Í¨Ñ¶Ê±ÑÓÉìµÈÎÊÌ⣬£¬£¬£¬£¬£¬£¬ºÌÍûµçÆøÌá³öÒÔÏÂÁ½ÖÖ½â¾ö¼Æ»®£ºÒ»ÊǸ´ÓÃÊý²É×°Ö㬣¬£¬£¬£¬£¬£¬µ«ÒªÇóÊý²É×°ÖÿɾÙÐнӿÚÉý¼¶£»£»£»£»£»£»¶þÊÇÔöÌíËÙÆµÖÕ¶Ë£¬£¬£¬£¬£¬£¬£¬ÔÓÐͨѶװ±¸ÎÞÐè¾ÙÐÐÈκÎˢУ¬£¬£¬£¬£¬£¬£¬×îºéÁ÷ƽïÔÌˢб¾Ç®¡£¡£¡£¡£¡£¡£

ºÌÍûhopePowerϵͳ¹â·üµçÕ¾¿ìËÙµ÷Ƶ½â¾ö¼Æ»®
ÔÚ²úÆ·×ÊÖÊ·½Ã棬£¬£¬£¬£¬£¬£¬ºÌÍûhopePowerϵͳ½ô¸ú×îйú±êµÄÏà¹Ø»®¶¨µü´úÉý¼¶£¬£¬£¬£¬£¬£¬£¬²¢¼æÈݺ£ÄÚ¸÷µØ·½µçÍøµÄÊÖÒÕÒªÇ󡣡£¡£¡£¡£¡£ÏÖÔÚ²úÆ·ÒÑͨ¹ý¹úÍøÐÍʽÈÏÖ¤¼°¶à¸öµØ·½µçÍøµÄµ÷Ƶװ±¸ÈëÍøÈÏÖ¤ÊÔÑ飻£»£»£»£»£»

ÔÚÏîĿӦÓ÷½Ã棬£¬£¬£¬£¬£¬£¬ºÌÍûµçÆø½â¾ö¼Æ»®ÅúÁ¿Ó¦ÓÃÓÚÔÆÄÏ¡¢¸ÊËà¡¢¼ªÁÖ¡¢ºÓ±±µÈµØ·çµç³¡ºÍ¹â·üµçÕ¾£¬£¬£¬£¬£¬£¬£¬¾ÙÐг¡¼¶Ò»´Îµ÷Ƶ¼°¹ßÁ¿µ÷ƵÊÔÑé¡£¡£¡£¡£¡£¡£ºÌÍûµçÆøÊǺ£ÄÚÊ×Åúͨ¹ýйú±êÒªÇóµÄÐÂÄÜÔ´³¡Õ¾Ò»´Îµ÷Ƶ¼°¹ßÁ¿µ÷ƵÊÔÑéµÄÐÂÄÜÔ´³¡Õ¾¿ìËÙµ÷Ƶװ±¸ÌṩÉÌ¡£¡£¡£¡£¡£¡£


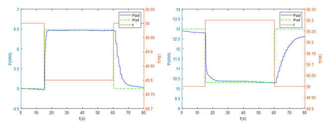
ºÌÍûhopePowerϵͳ·çµç³¡¹ßÁ¿µ÷Ƶʵ²â²¨ÐÎ
ÔÚºÓ±±ÎäÇ¿¡¢Äþ½úÇ徲ɽµÈ¹â·üµçÕ¾ÏîĿӦÓÃÖУ¬£¬£¬£¬£¬£¬£¬ÏÖ³¡²âÊÔЧ¹ûÓÅÓÚ¡¶GB_T40595-2021²¢ÍøµçÔ´Ò»´Îµ÷ƵÊÖÒÕ»®¶¨¼°ÊÔÑéµ¼Ôò¡·ÖжԹâ·üµçÕ¾Ò»´Îµ÷ƵµÄÏà¹ØÒªÇ󣬣¬£¬£¬£¬£¬£¬µÖ´ïÆô¶¯Ê±¼ä<1s£¬£¬£¬£¬£¬£¬£¬ÏìӦʱ¼ä<2s£¬£¬£¬£¬£¬£¬£¬µ÷Àíʱ¼ä<4s¡£¡£¡£¡£¡£¡£

ºÌÍûhopePowerϵͳ¹â·üµçÕ¾Ò»´Îµ÷Ƶʵ²â²¨ÐÎ
×÷ΪÐÂÄÜÔ´ÁìÓòµÄÁìÏÈÆóÒµ£¬£¬£¬£¬£¬£¬£¬ºÌÍûÐÂÄÜÔ´³¡Õ¾ÉæÍøÌØÕ÷¿ØÖÆ×°±¸°üÀ¨ÐÂÄÜÔ´³¡Õ¾¿ìËÙµ÷Ƶµ÷ѹϵͳ¡¢´¢ÄÜEMSϵͳ¡¢·ç»ú/¹â·ü¼¯Èº¿ØÖÆÏµÍ³£¬£¬£¬£¬£¬£¬£¬ÇÒÒÑÓë¶à¸öÒµÄÚ×ÅÃû·çµçÕû»ú/Äæ±äÆ÷³§¼ÒÏàÖú£¬£¬£¬£¬£¬£¬£¬ÐͬʵÏÖÐÂÄÜÔ´³¡Õ¾ÉæÍøÌØÕ÷ÌáÉý¡£¡£¡£¡£¡£¡£
ÃæÁÙδÀ´Éú³¤£¬£¬£¬£¬£¬£¬£¬ºÌÍûµçÆø½«½ÓÄÉÆ½Ì¨»¯µÄÉè¼ÆË¼Ð÷£¬£¬£¬£¬£¬£¬£¬¶ÔÐÂÄÜÔ´ÐÐÒµÉî¶ÈÓë¹ã¶ÈÑÓÉ죬£¬£¬£¬£¬£¬£¬Ìṩ¸ü¸»ºñ¡¢¸ü¾ß¾ºÕùÁ¦µÄÊÖÒÕ¡¢²úÆ·ºÍϵͳ£¬£¬£¬£¬£¬£¬£¬ÖúÁ¦ÐÂÐ͵çÁ¦ÏµÍ³¹¹½¨¡£¡£¡£¡£¡£¡£